Press release
Microcrystalline cellulose Market Forecast 2018- 2025: Who are the Major Players?
Microcrystalline cellulose Market is probable to reflect a positive growth and trend in upcoming years. The vital driving forces behind the growth and popularity of Microcrystalline cellulose market is analysed detailed in this report.Description
Microcrystalline cellulose is a name of refined wood pulp and is used as a texturizer, an anti-caking agent, a fat substitute, an emulsifier, an extender, and a bulking agent in food production. The most common form is used in vitamin supplements or tablets. It is also used in plaque assays for counting viruses, as an alternative to carboxymethyl cellulose.
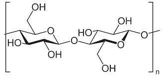
Structure- It is a naturally occurring polymer, composed of glucose units connected by a 1-4 beta glycosidic bond. These linear cellulose chains are bundled together as microfibril spiralled together in the walls of plant cell. Each microfibril exhibits a high degree of three-dimensional internal bonding resulting in a crystalline structure that is insoluble in water and resistant to reagents. There are, however, relatively weak segments of the microfibril with weaker internal bonding. These are called amorphous regions; some argue that they are more accurately called dislocations, because of the single-phase structure of microfibrils. The crystalline region is isolated to produce microcrystalline cellulose.
Uses:
Approved within the European Union as a thickener, stabilizer or emulsifiers microcrystalline cellulose was granted the E number E460 with basic cellulose given the number E460. Microcrystalline cellulose (MCC) has use in cosmetics as an abrasive, absorbent, anti-caking agent, aqueous viscosity increasing agent, binder, bulking agent, emulsion stabilizer, slip modifier, and texturizer, which can be found in various hair and skin care products as well as makeup.The MCC is a valuable additive in pharmaceutical, food, cosmetic and other industries. Different properties of MCC are measured to qualify its suitability to such utilization, namely particle size, density, compressibility index, angle of repose, powder porosity, hydration swelling capacity, moisture sorption capacity, moisture content, crystallinity index, crystallite size, and mechanical properties such as hardness and tensile strength.
Global Microcrystalline cellulose Market Report provides a depth analysis of the major Microcrystalline cellulose industry leading players along with the company profiles and strategies adopted by them. This enables the buyer of the report to gain a telescopic view of the competitive landscape and plan the strategies accordingly. A separate section with Microcrystalline cellulose industry key players is included in the report, which provides a comprehensive analysis of price, cost, gross, revenue, product picture, specifications, company profile, and contact information.
Browse the complete Report at:
https://www.marketreportsworld.com/12233690
The Market Research, besides estimating the Microcrystalline cellulose market potential till 2023, analyzes on who can be the market leaders and what partnerships would help them to capture the market share. The Microcrystalline cellulose Industry report gives an overview about the dynamics of the market, by discussing various aspects such as drivers, restraints, Porter’s 5 forces, value chain, customer acceptance and investment scenario.
The following Companies are the Key Players in the Global Microcrystalline cellulose Market Research Report 2018: FMC Corporation, E.I. Du Pont De Nemours, Asahi Kasei, Tembec, Dfe Pharma, Blanver Farmoquimica Ltda, Jrs Pharma, Avantor Performance Materials, Mingtai Chemical, Pharmatrans-Sanaq, Sigachi Industrial, Juku Orchem Private.
Major Classifications of Microcrystalline cellulose Market: Wood Based, Non-Wood Based
Major Applications of Microcrystalline cellulose Market: Food & Beverage, Pharmaceutical, Cosmetics & Personal Care, Others
Get a Sample of Microcrystalline cellulose Market report from:
https://www.marketreportsworld.com/enquiry/request-sample/12233690
Global Microcrystalline cellulose Market by Type and Application (2012-2018)
Global Microcrystalline cellulose Market Size by Type and Application (2012-2018)
2. Global Microcrystalline cellulose Market Size by Type (2012-2018)
3. Global Microcrystalline cellulose Market Size by Application (2012-2018)
4. Potential Application of Microcrystalline cellulose in Future
5. Top Consumer/End Users of Microcrystalline cellulose
Global Microcrystalline cellulose Market Forecast 2018-2023
The Microcrystalline cellulose Market report analyses the supply, sales, production, and market status comprehensively. Production market shares and sales market shares are analysed along with the study of capacity, production, sales, and revenue. Several other factors such as import, export, gross margin, price, cost, and consumption are also analysed under the section Analysis of Microcrystalline cellulose production, supply, sales and market status.
Have a query, Ask to our Industry Expert:
https://www.marketreportsworld.com/enquiry/pre-order-enquiry/12233690
Key Points Covered in Report:
Global Microcrystalline cellulose Market Research Report 2018
Global Microcrystalline cellulose Market Competition by Manufacturers
Global Microcrystalline cellulose Capacity, Production, Revenue (Value) by Region (2012-2018)
Global Microcrystalline cellulose Supply (Production), Consumption, Export, Import by Region (2012-2018)
Global Microcrystalline cellulose Production, Revenue (Value), Price Trend by Type
Global Microcrystalline cellulose Market Analysis by Application
Global Microcrystalline cellulose Manufacturers Profiles/Analysis
Microcrystalline cellulose Manufacturing Cost Analysis
Industrial Chain, Sourcing Strategy and Downstream Buyers
Marketing Strategy Analysis, Distributors/Traders
Market Effect Factors Analysis
Price of Report: $ 3000 (Single User License)
Purchase the Microcrystalline cellulose Market Report at:
https://www.marketreportsworld.com/purchase/12233690
The Microcrystalline cellulose Market report covers the market landscape and its growth prospects over the coming years, the Report also brief deals with the product life cycle, comparing it to the relevant products from across industries that had already been commercialized details the potential for various applications, discussing about recent product innovations and gives an overview on potential regional market shares.
Detailed TOC of Global Microcrystalline cellulose Market report and Forecast to 2025:
Section 1 Microcrystalline cellulose Market Overview
1.1 Product Overview of Microcrystalline cellulose
1.2 Classification of Microcrystalline cellulose
1.3 Applications of Microcrystalline cellulose
1.4 Global Microcrystalline cellulose Market Regional Analysis
1.4.1 USA Market Present Situation Analysis
1.4.2 Europe Market Present Situation Analysis
1.4.3 Japan Market Present Situation Analysis
1.4.4 China Market Present Situation Analysis
1.4.5 India Market Present Situation Analysis
1.4.6 Southeast Asia Market Present Situation Analysis
1.4.7 South America Market Present Situation Analysis
1.4.8 South Africa Market Present Situation Analysis
1.5 Microcrystalline cellulose Industry Development Factors Analysis
1.5.1 Microcrystalline cellulose Industry Development Opportunities Analysis
1.5.2 Microcrystalline cellulose Industry Development Challenges Analysis
1.6 Microcrystalline cellulose Consumer Behavior Analysis
Section 2 Global Microcrystalline cellulose Competitions by Players
2.1 Global Microcrystalline cellulose Sales (Unit) and Market Share (%) by Players
2.2 Global Microcrystalline cellulose Revenue (Million USD) and Share by Players (2017-2018)
2.3 Global Microcrystalline cellulose Price (USD/Unit) by Players (2017-2018)
2.4 Global Microcrystalline cellulose Gross Margin by Players (2017-2018)
Section 3 Global Microcrystalline cellulose Competitions by Types
3.1 Global Microcrystalline cellulose Sales (Unit) and Market Share (%) by Types
3.2 Global Microcrystalline cellulose Revenue (Million USD) and Share by Type (2013-2018)
3.3 Global Microcrystalline cellulose Price (USD/Unit) by Type (2013-2018)
3.4 Global Microcrystalline cellulose Gross Margin by Type (2013-2018)
3.5 USA Microcrystalline cellulose Sales (Unit) and Market Share (%) by Type
3.6 China Microcrystalline cellulose Sales (Unit) and Market Share (%) by Type
3.7 Europe Microcrystalline cellulose Sales (Unit) and Market Share (%) by Type
3.8 Japan Microcrystalline cellulose Sales (Unit) and Market Share (%) by Type
3.9 India Microcrystalline cellulose Sales (Unit) and Market Share (%) by Type
3.10 Southeast Asia Microcrystalline cellulose Sales (Unit) and Market Share (%) by Type
3.11 South America Microcrystalline cellulose Sales (Unit) and Market Share (%) by Type
3.12 South Africa Microcrystalline cellulose Sales (Unit) and Market Share (%) by Type
Section 4 Global Microcrystalline cellulose Competitions by Applications
4.1 Global Microcrystalline cellulose Sales (Unit) and Market Share (%) by Applications
4.2 Global Microcrystalline cellulose Revenue (Million USD) and Share by Applications (2013-2018)
4.3 Global Microcrystalline cellulose Price (USD/Unit) by Applications (2013-2018)
4.4 Global Microcrystalline cellulose Gross Margin by Applications (2013-2018)
4.5 USA Microcrystalline cellulose Sales (Unit) and Market Share (%) by Applications
4.6 China Microcrystalline cellulose Sales (Unit) and Market Share (%) by Applications
4.7 Europe Microcrystalline cellulose Sales (Unit) and Market Share (%) by Applications
4.8 Japan Microcrystalline cellulose Sales (Unit) and Market Share (%) by Applications
4.9 India Microcrystalline cellulose Sales (Unit) and Market Share (%) by Applications
4.10 Southeast Asia Microcrystalline cellulose Sales (Unit) and Market Share (%) by Applications
4.11 South America Microcrystalline cellulose Sales (Unit) and Market Share (%) by Applications
4.12 South Africa Microcrystalline cellulose Sales (Unit) and Market Share (%) by Applications
Section 5 Global Microcrystalline cellulose Production Market Analysis by Regions
5.1 Global Microcrystalline cellulose Production (Unit) and Market Share (%) by Regions
5.1.1 USA Microcrystalline cellulose Market Production Present Situation Analysis
5.1.2 Europe Microcrystalline cellulose Market Production Present Situation Analysis
5.1.3 China Microcrystalline cellulose Market Production Present Situation Analysis
5.1.4 Japan Microcrystalline cellulose Market Production Present Situation Analysis
5.1.5 India Microcrystalline cellulose Market Production Present Situation Analysis
5.1.6 Southeast Asia Microcrystalline cellulose Market Production Present Situation Analysis
5.1.7 South America Microcrystalline cellulose Market Production Present Situation Analysis
5.1.8 South Africa Microcrystalline cellulose Market Production Present Situation Analysis
5.2 Global Microcrystalline cellulose Production Value (Million USD) and Share by Region (2013-2018)
5.3 Global Microcrystalline cellulose Price (USD/Unit) by Region (2013-2018)
5.4 Global Microcrystalline cellulose Gross Margin by Region (2013-2018)
Section 6 Global Microcrystalline cellulose Sales Market Analysis by Region
6.1 USA Microcrystalline cellulose Market Consumption Present Situation Analysis
6.2 Europe Microcrystalline cellulose Market Consumption Present Situation Analysis
6.3 China Microcrystalline cellulose Market Consumption Present Situation Analysis
6.4 Japan Microcrystalline cellulose Market Consumption Present Situation Analysis
6.5 India Microcrystalline cellulose Market Consumption Present Situation Analysis
6.6 Southeast Asia Microcrystalline cellulose Market Consumption Present Situation Analysis
6.7 South America Microcrystalline cellulose Market Consumption Present Situation Analysis
6.8 South Africa Microcrystalline cellulose Market Consumption Present Situation Analysis
Section 7 Imports and Exports Market Analysis
7.1 USA Microcrystalline cellulose Imports and Exports Analysis (2013-2018)
7.2 Europe Microcrystalline cellulose Imports and Exports Analysis (2013-2018)
7.3 China Microcrystalline cellulose Imports and Exports Analysis (2013-2018)
7.4 Japan Microcrystalline cellulose Imports and Exports Analysis (2013-2018)
7.5 India Microcrystalline cellulose Imports and Exports Analysis (2013-2018)
7.6 Southeast Asia Microcrystalline cellulose Imports and Exports Analysis (2013-2018)
7.7 South America Microcrystalline cellulose Imports and Exports Analysis (2013-2018)
7.8 South Africa Microcrystalline cellulose Imports and Exports Analysis (2013-2018)
Section 8 Global Microcrystalline cellulose Players Profiles and Sales Data
8.1 Company one
8.1.1 Company Basic Information
8.1.2 Microcrystalline cellulose Product Category
8.1.3 Company One Microcrystalline cellulose Sales (Volume), Revenue (Million USD), Price (USD/Unit) and Gross Margin (%) (2013-2018)
8.2 Company Two
8.2.1 Company Basic Information
8.2.2 Microcrystalline cellulose Product Category
8.2.3 Company Two Microcrystalline cellulose Sales (Volume), Revenue (Million USD), Price (USD/Unit) and Gross Margin (%) (2013-2018)
8.3 Company Three
8.3.1 Company Basic Information
8.3.2 Microcrystalline cellulose Product Category
8.3.3 Company Three Microcrystalline cellulose Sales (Volume), Revenue (Million USD), Price (USD/Unit) and Gross Margin (%) (2013-2018)
8.4 Company Four
8.4.1 Company Basic Information
8.4.2 Microcrystalline cellulose Product Category
8.4.3 Company Four Microcrystalline cellulose Sales (Volume), Revenue (Million USD), Price (USD/Unit) and Gross Margin (%) (2013-2018)
8.5 Company Five
8.5.1 Company Basic Information
8.5.2 Microcrystalline cellulose Product Category
8.5.3 Company Five Microcrystalline cellulose Sales (Volume), Revenue (Million USD), Price (USD/Unit) and Gross Margin (%) (2013-2018)
8.6 Company Six
8.6.1 Company Basic Information
8.6.2 Microcrystalline cellulose Product Category
8.6.3 Company Six Microcrystalline cellulose Sales (Volume), Revenue (Million USD), Price (USD/Unit) and Gross Margin (%) (2013-2018)
8.7 Company Seven
8.7.1 Company Basic Information
8.7.2 Microcrystalline cellulose Product Category
8.7.3 Company Seven Microcrystalline cellulose Sales (Volume), Revenue (Million USD), Price (USD/Unit) and Gross Margin (%) (2013-2018)
8.8 Company Eight
8.8.1 Company Basic Information
8.8.2 Microcrystalline cellulose Product Category
8.8.3 Company Eight Microcrystalline cellulose Sales (Volume), Revenue (Million USD), Price (USD/Unit) and Gross Margin (%) (2013-2018)
8.9 Company Nine
8.9.1 Company Basic Information
8.9.2 Microcrystalline cellulose Product Category
8.9.3 Company Nine Microcrystalline cellulose Sales (Volume), Revenue (Million USD), Price (USD/Unit) and Gross Margin (%) (2013-2018)
8.10 Company Ten
8.10.1 Company Basic Information
8.10.2 Microcrystalline cellulose Product Category
8.10.3 Company Ten Microcrystalline cellulose Sales (Volume), Revenue (Million USD), Price (USD/Unit) and Gross Margin (%) (2013-2018)
9 Microcrystalline cellulose Upstream and Downstream Analysis
9.1 Key Raw Materials Suppliers and Price Analysis
9.2 Key Raw Materials Production and Consumption Analysis
9.3 Key Raw Materials Mode of transport and cost analysis
9.4 Proportion of Manufacturing Cost Structure
9.5 Manufacturing Process Analysis
9.6 Microcrystalline cellulose Downstream Buyers Analysis
9.7 Microcrystalline cellulose Industry Chain Analysis
9.8 Procurement Method Analysis
9.9 Customs Tariff Analysis
10 Global Microcrystalline cellulose Market Forecast (2018-2025)
10.1 Global Microcrystalline cellulose Market Consumption Forecast (2018-2025) by Regions
10.1.1 USA Microcrystalline cellulose Market Consumption Forecast Analysis (2018-2025)
10.1.2 Europe Microcrystalline cellulose Market Consumption Forecast Analysis (2018-2025)
10.1.3 China Microcrystalline cellulose Market Consumption Forecast Analysis (2018-2025)
10.1.4 Japan Microcrystalline cellulose Market Consumption Forecast Analysis (2018-2025)
10.1.5 India Microcrystalline cellulose Market Consumption Forecast Analysis (2018-2025)
10.1.6 Southeast Asia Microcrystalline cellulose Market Consumption Forecast Analysis (2018-2025)
10.1.7 South America Microcrystalline cellulose Market Consumption Forecast Analysis (2018-2025)
10.1.8 South Africa Microcrystalline cellulose Market Consumption Forecast Analysis (2018-2025)
10.2 Global Microcrystalline cellulose Production Forecast by Regions (2018-2025)
10.2.1 USA Microcrystalline cellulose Market Production Forecast Analysis (2018-2025)
10.2.2 Europe Microcrystalline cellulose Market Production Forecast Analysis (2018-2025)
10.2.3 China Microcrystalline cellulose Market Production Forecast Analysis (2018-2025)
10.2.4 Japan Microcrystalline cellulose Market Production Forecast Analysis (2018-2025)
10.2.5 India Microcrystalline cellulose Market Production Forecast Analysis (2018-2025)
10.2.6 Southeast Asia Microcrystalline cellulose Market Production Forecast Analysis (2018-2025)
10.2.7 South America Microcrystalline cellulose Market Production Forecast Analysis (2018-2025)
10.2.8 South Africa Microcrystalline cellulose Market Production Forecast Analysis (2018-2025)
10.3 Global Microcrystalline cellulose Consumption Forecast by Type (2018-2025)
10.3.1 Type 1 Microcrystalline cellulose Consumption Forecast Analysis
10.3.2 Type 2 Microcrystalline cellulose Consumption Forecast Analysis
10.3.3 Type 3 Microcrystalline cellulose Consumption Forecast Analysis
10.3.4 Type 4 Microcrystalline cellulose Consumption Forecast Analysis
10.4 Global Microcrystalline cellulose Consumption Forecast by Applications (2018-2025)
10.4.1 Application 1 Microcrystalline cellulose Consumption Forecast Analysis
10.4.2 Application 2 Microcrystalline cellulose Consumption Forecast Analysis
10.4.3 Application 3 Microcrystalline cellulose Consumption Forecast Analysis
10.4.4 Application 4 Microcrystalline cellulose Consumption Forecast Analysis
11 Research Findings and Conclusion
Market is changing rapidly with the ongoing expansion of the industry. Advancement in the technology has provided today's businesses with multifaceted advantages resulting in daily economic shifts. Thus, it is very important for a company to comprehend the patterns of the market movements in order to strategize better. An efficient strategy offers the companies with a head start in planning and an edge over the competitors. Market Reports World is the credible source for gaining the market reports that will provide you with the lead your business needs.
3rd Floor, Silver Spring, Sahyadri farms,
Opp Prabhavee Tech Park,
Baner - Mhalunge Road, Baner, Pune 411045
This release was published on openPR.
Permanent link to this press release:
                     Copy
                  
                 Please set a link in the press area of your homepage to this press release on openPR.  openPR disclaims liability for any content contained in this release. 
    You can edit or delete your press release Microcrystalline cellulose Market Forecast 2018- 2025: Who are the Major Players? here
News-ID: 1442814 • Views: …
More Releases from Market Reports World
                                            
                                                    Employee Wellness Software Market - Industry Forecast (2023 - 2030)                                                
                                            
                                        
                                            Pre and Post-Covid Report Is Covered | Final Report Will Add the Analysis of the Impact of Russia-Ukraine War and COVID-19 on This Industry.
Global "Employee Wellness Software Market" Research Report 2023 is spread across 104 pages and provides Size, Share, Growth, and Forecast with exclusive vital statistics, data, information, trends, and competitive landscape details in this niche sector.
Get a sample PDF of the report -https://www.marketreportsworld.com/enquiry/request-sample/23544729
Employee Wellness Software Market research report…  
                                        
                                    
                                            
                                                    Global Cognitive Analytics Market Analysis, Drivers, Restraints, Opportunities,  …                                                
                                            
                                        
                                            Pre and Post-Covid Report Is Covered | Final Report Will Add the Analysis of the Impact of Russia-Ukraine War and COVID-19 on This Industry.
Global "Cognitive Analytics Market" Research Report 2023 is spread across 101 pages and provides Size, Share, Growth, and Forecast with exclusive vital statistics, data, information, trends, and competitive landscape details in this niche sector.
Get a sample PDF of the report -https://www.marketreportsworld.com/enquiry/request-sample/23545001
Cognitive Analytics Market research report offers New…  
                                        
                                    
                                            
                                                    Adventure and Safari Market Report Presents Latest Development Process and Key G …                                                
                                            
                                        
                                            Pre and Post-Covid Report Is Covered | Final Report Will Add the Analysis of the Impact of Russia-Ukraine War and COVID-19 on This Industry.
Global "Adventure and Safari Market" Research Report 2023 is spread across 120 pages and provides Size, Share, Growth, and Forecast with exclusive vital statistics, data, information, trends, and competitive landscape details in this niche sector.
Get a sample PDF of the report -https://www.marketreportsworld.com/enquiry/request-sample/23545009
Adventure and Safari Market research report…  
                                        
                                    
                                            
                                                    Cardiac Cath Lab Market Report Explain the Distribution Process of Market foreca …                                                
                                            
                                        
                                            Pre and Post-Covid Report Is Covered | Final Report Will Add the Analysis of the Impact of Russia-Ukraine War and COVID-19 on This Industry.
Global "Cardiac Cath Lab Market" Research Report 2023 is spread across 107 pages and provides Size, Share, Growth, and Forecast with exclusive vital statistics, data, information, trends, and competitive landscape details in this niche sector.
Get a sample PDF of the report -https://www.marketreportsworld.com/enquiry/request-sample/23545162
Cardiac Cath Lab Market research report…  
                                        
                                    More Releases for Microcrystalline
                                                    Top 10 Microcrystalline Cellulose Companies Analysis to 2031                                                
                                            
                                        
                                            Microcrystalline cellulose is a refined wood pulp derivative that appears as a white, odorless, tasteless powder. It is made from cellulose, which is a naturally occurring structural component of plant cell walls.
Microcrystalline Cellulose - a versatile excipient used in pharmaceuticals, food, and cosmetics for its excellent compressibility and binding properties.
Download The Exclusive PDF @ https://www.theinsightpartners.com/sample/TIPRE00004679/?utm_source=OpenPR&utm_medium=10864
Key Companies:
•	Accent Microcell Pvt. Ltd.
•	Asahi Kasei Corporation
•	Avantor, Inc.
•	DFE Pharma GmbH and Co.KG
•	FMC Corporation
•	JRS PHARMA GmbH and…  
                                        
                                    
                                                    Microcrystalline Cellulose Market Challenges, Growth and Opportunities - 2031                                                
                                            
                                        
                                            The microcrystalline cellulose (MCC) market is experiencing steady growth, driven by its diverse applications across various industries. This article provides a detailed analysis of the market landscape, encompassing market size and growth projections, segmentation, regional trends, key drivers and challenges, future outlook, and competitive landscape.
𝐃𝐢𝐬𝐜𝐨𝐯𝐞𝐫 𝐕𝐚𝐥𝐮𝐚𝐛𝐥𝐞 𝐈𝐧𝐬𝐢𝐠𝐡𝐭𝐬: 𝐃𝐨𝐰𝐧𝐥𝐨𝐚𝐝 𝐭𝐡𝐞 𝐬𝐚𝐦𝐩𝐥𝐞 𝐨𝐟 𝐨𝐮𝐫 𝐌𝐢𝐜𝐫𝐨𝐜𝐫𝐲𝐬𝐭𝐚𝐥𝐥𝐢𝐧𝐞 𝐂𝐞𝐥𝐥𝐮𝐥𝐨𝐬𝐞 𝐌𝐚𝐫𝐤𝐞𝐭 :https://www.transparencymarketresearch.com/sample/sample.php?flag=S&rep_id=2455
Microcrystalline cellulose (MCC) is a purified form of cellulose derived from wood pulp. It offers…  
                                        
                                    
                                                    Microcrystalline Cellulose Market Demand,Trends, Size 2021-2031                                                
                                            
                                        
                                            The global Microcrystalline Cellulose market is estimated to attain a valuation of US$ 1.68 Bn  by the end of 2031, states a study by Transparency Market Research (TMR). Besides, the report notes that the market is prognosticated to expand at a CAGR of 5.2% during the forecast period, 2021-2031.
The key objective of the TMR report is to offer a complete assessment of the global market including major leading stakeholders…  
                                        
                                    
                                                    Microcrystalline Cellulose Spheres Market 2021 | Detailed Report                                                
                                            
                                        
                                            Microcrystalline Cellulose Spheres Market Forecasts report provided to identify significant trends, drivers, influence factors in global and regions, agreements, new product launches and acquisitions, Analysis, market drivers, opportunities and challenges, risks in the market, cost and forecasts to 2027.
Get Free Sample PDF (including full TOC, Tables and Figures) of Microcrystalline Cellulose Spheres Market @ https://www.reportsnreports.com/contacts/requestsample.aspx?name=4972339 
The report provides a comprehensive analysis of company profiles listed below:
- SEPPIC
- JRS Pharma
- NB…  
                                        
                                    
                                                    Microcrystalline Wax Market Size, Share, Development by 2022.                                                
                                            
                                        
                                            LP INFORMATION offers a latest published report on  Microcrystalline Wax     Market Analysis and Forecast 2017-2022 delivering key insights and providing a competitive advantage to clients through a detailed report. 
The Global Microcrystalline Wax market size will be XX million (USD) in 2022, from the XX million (USD) in 2016, with a CAGR (Compound Annual Growth Rate) XX% from 2016 to 2022.
Click to view the full…  
                                        
                                    
                                                    Microcrystalline Cellulose Market Trends and Segments 2015-2025                                                
                                            
                                        
                                            Cellulose is the prime component of plant cell. Microcrystalline cellulose is partially depolymerized cellulose, obtained from wood pulp. It is also formed through some of the fungi, bacteria, algae or marine animals. It is insoluble in water and is primarily used as bulking and anticaking agent in production of food products. It is also used as a texturizer, emulsifier and as an extender in application such as pharmaceutical or personal…  
                                        
                                    